案例&资讯
案例&资讯
主页 › 案例&资讯行业案例 › 查看详情

Flash存储器的故障特征

来源: 日期:2020-11-13 11:19:43

Flash存储器是一种基于浮栅技术的非挥发性半导体存储器,一般有NOR、NAND、 DINOR和AND 等几种类型。作为一类非易失性存储器 ,Flash存储器具有自己独特的优点:不需要特殊的外部高电压即可进行电可擦除和重复编程,成本低及密度大,因而广泛用于嵌入式系统中。

与RAM 不同的是,Flash存储器除了具有一些典型的存储器故障类型外,还会出现一些其它的故障类型,例如 NOR类型的Flash还会出现以下主要故障类型:
 
(1) 栅极编程干扰 (GPD)和栅极擦除干扰(GED),对一个存储单元的编程操作引起同一字线上的另外单元发生错误的编程或擦除操作。
 
(2)漏极编程干扰和漏极擦除干扰:对一个存储单元的编程操作引起同一位线上的另外单元发生错误的编程或擦除操作。
 
(3)读干扰:对一个存储单元的读操作引起对该单元的错误编程。
 
(4) 过度擦除(OE):对存储单元的过度擦除将会导致对该存储单元的下一次编程不起作用,从而无法得到正确的操作结果。
 
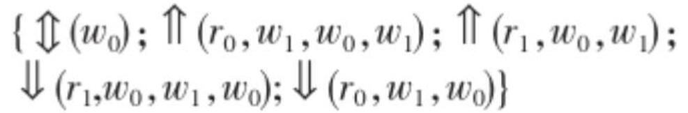
上面几种类型的干扰故障一般发生在Flash 存储器同一行或者同一列的单元之间,利用内存Flash故障的理论模型6,可以选择应用适合Flash存储器测试的March算法,并且可以对这些算法进行对比与评估7,例如一种Match A算法可表示为:

 
这种March A 测试算法能够覆盖SAF (Stuck-At Faults),DPD,DED,RD,OE和几乎所有的 GPD,GED 故障。其算法复杂度可以表示为11xP+4xR ,其中P和R分别表示一次编程和读取操作,N表示存储器的存储容量(字数)。
 

关键词:Flash